Докажите справедливость утверждения: выражение (7^2n-1) делится на 48.
kanmmu:
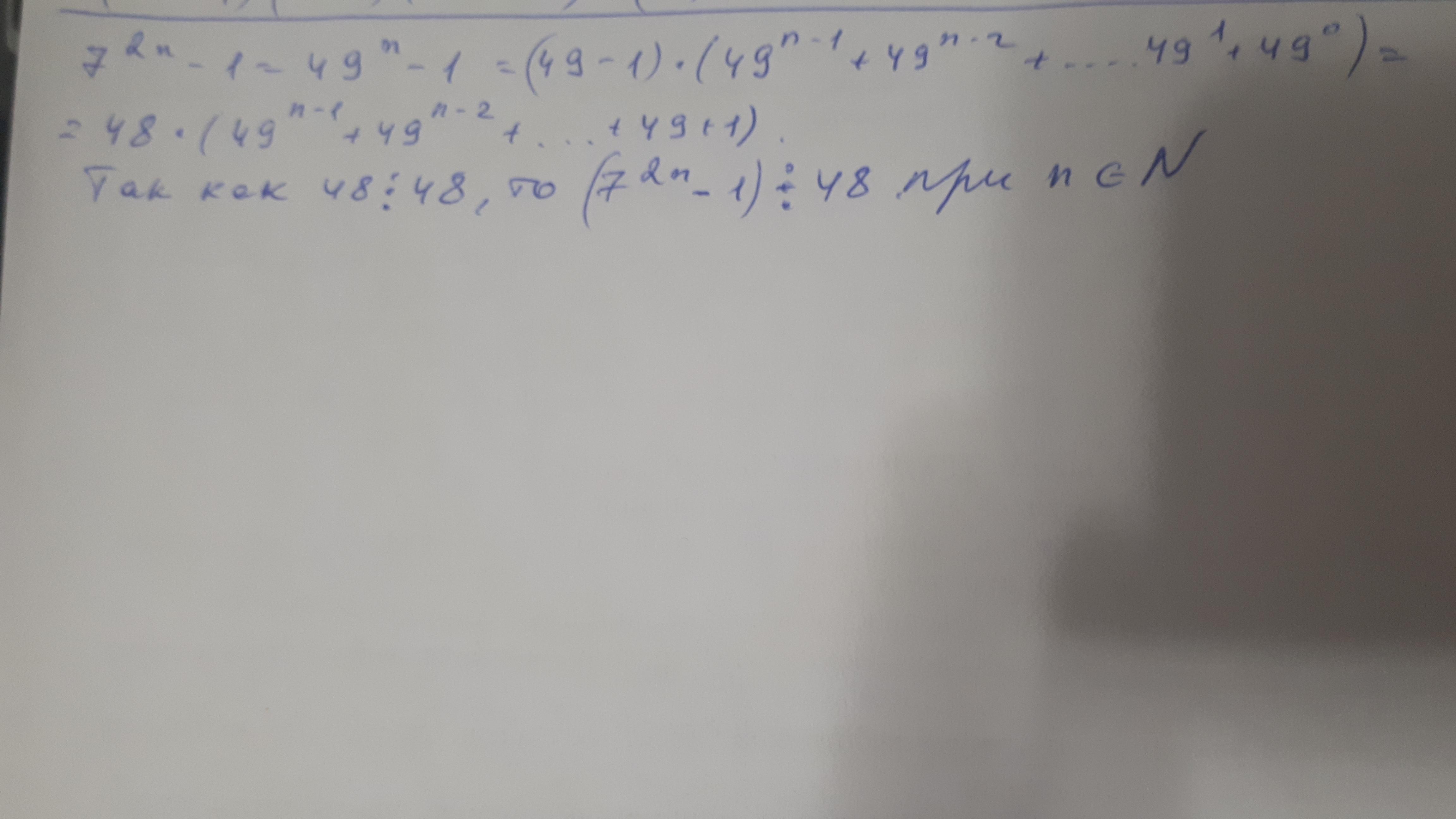
Я бы представил разность квадратов в виде произведения. Затем проанализировал кратность каждого из множителей. Навскидку кратность 24 доказывается сходу
Ответы
Ответ дал:
4
Ответ:
Объяснение:
Произведение кратно некоторому числу, если один из множителей кратен этому числу. Остальное на фото
Приложения:

Вас заинтересует
2 года назад
2 года назад
2 года назад
7 лет назад
7 лет назад
9 лет назад