• Предмет: Математика
  • Автор: ivanterehin72
  • Вопрос задан 3 года назад

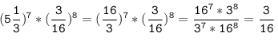
(5 1/3)⁷×(3/16)⁸
Вычислить надо​

Ответы

Ответ дал: vadimvoron228
0

Ответ:

я потом отвечу ок

Пошаговое объяснение:

(5 1/3)^7*(3/16)^8=(16/3)^7*(16/3)^8 =(16/3)^1=3/16

Приложения:

vadimvoron228: ой
vadimvoron228: ща исправлю
Вас заинтересует