Пожалуйста помогите! Нужен развёрнутый ответ, а не только результат. Желательно, на бумаге. Заранее спасибо, 13 балов!
Приложения:

Ответы
Ответ дал:
1
Объяснение:
если было полезным, ставь как лучший ответ
Приложения:

nastacvetaeva78:
Спасибо, отметила)
Ответ дал:
1
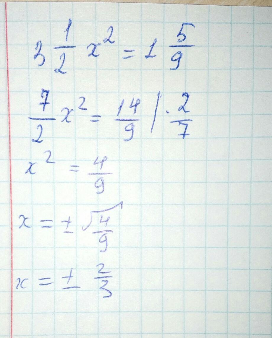
Вот я решила но не бумаге
Приложения:


Вас заинтересует
2 года назад
2 года назад
7 лет назад
9 лет назад