Ответы
Ответ дал:
1
Ответ:
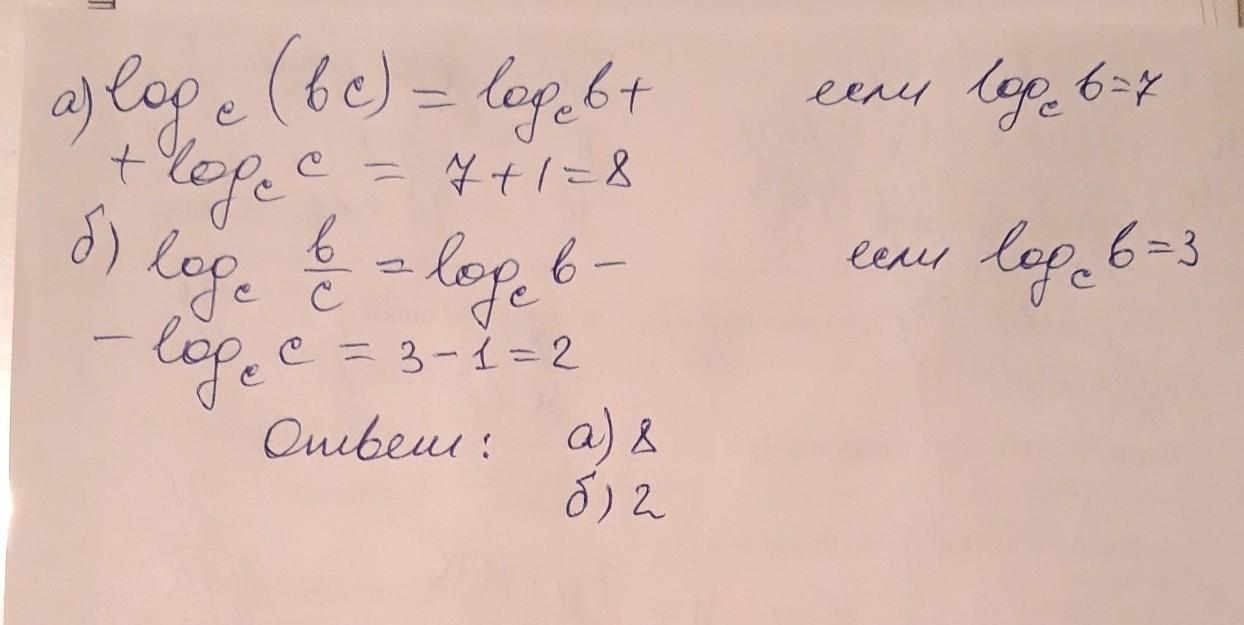
а) 8
б) 2
Найти значение логарифмичес
кого выражения.
Приложения:

yanameste:
Помогите пожалуйста https://znanija.com/task/41044014
Вас заинтересует
2 года назад
2 года назад
2 года назад
7 лет назад
7 лет назад
9 лет назад