• Предмет: Алгебра
  • Автор: gdlcjdrjf
  • Вопрос задан 3 года назад

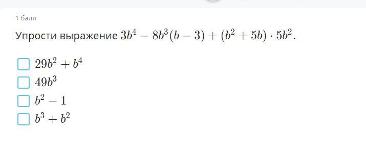
какой правельный ответ ?

Приложения:

Ответы

Ответ дал: filana85
1

Ответ:49b³

Объяснение:

Объяснение во вложенном файле

Приложения:
Вас заинтересует