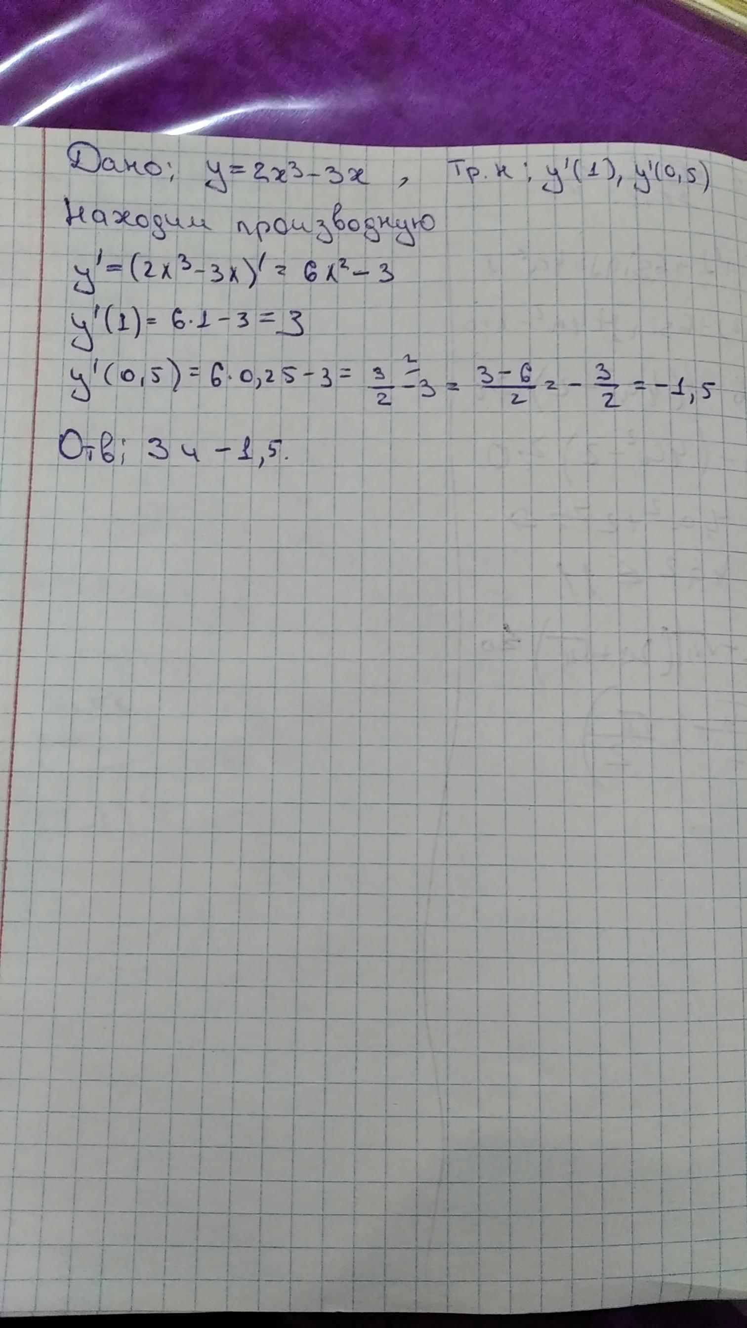
Найдите значение производной функции в указанных точках:
у= 2x^3 – 3x, x = 1, x = 0,5
Приложения:

Ответы
Ответ дал:
3
Ответ: на рисунке
Пошаговое объяснение:
На рисунке от души
Приложения:

dpsa:
Спасибо большое)
Вас заинтересует
2 года назад
2 года назад
2 года назад
2 года назад
7 лет назад
7 лет назад
9 лет назад