• Предмет: Математика
  • Автор: SonikLok
  • Вопрос задан 3 года назад

СРОЧНО ПЛИЗ ОЧЕНЬ ДАЮ 30 БАЛЛОВ ООООЧЕНЬ ПРОШУ ПАМАГИТЕ
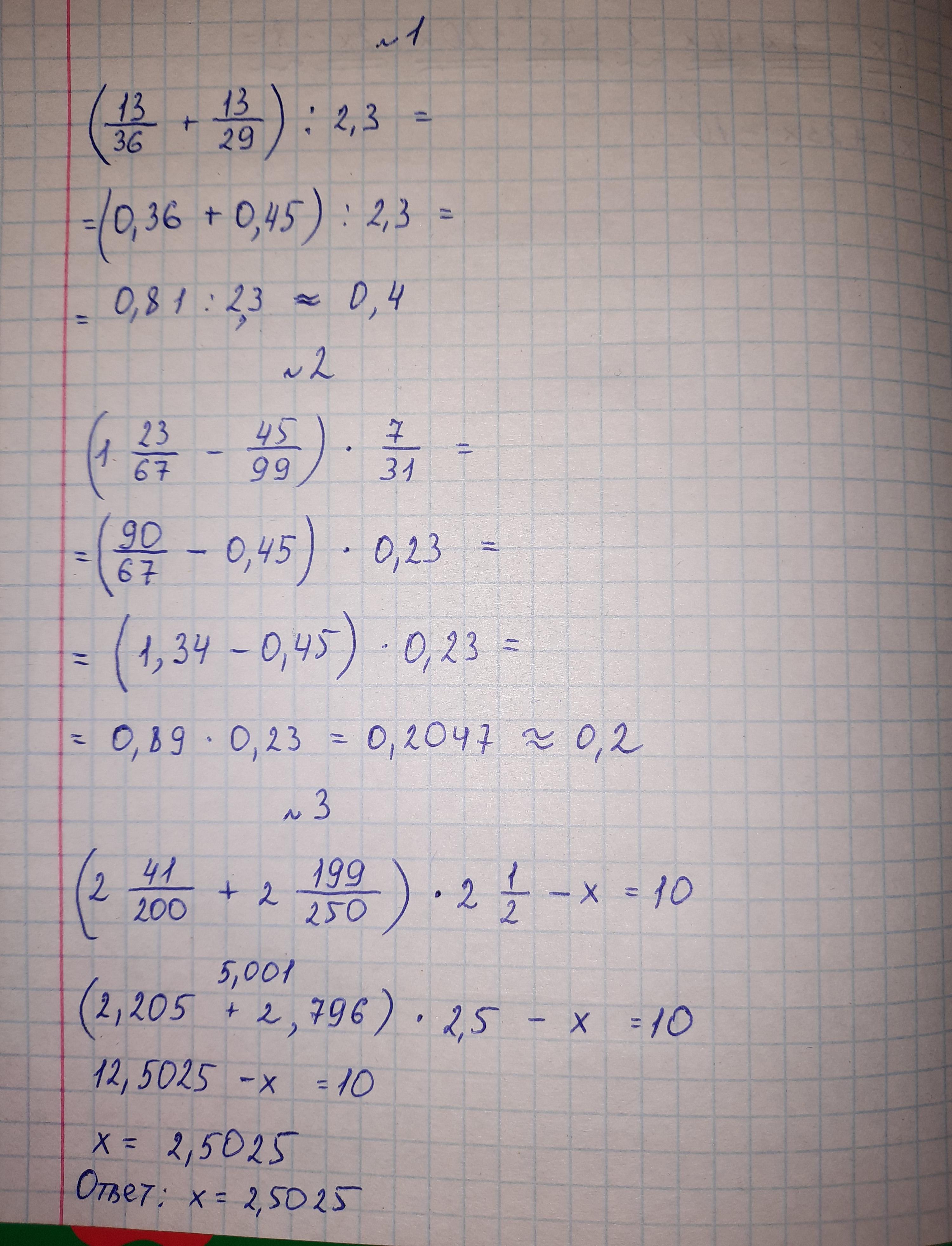
Срочно даю 20 баллов прошу очень)))))1. Переведите обыкновенные дроби в десятичные, округлите их до сотых и вычислите: (ответ округлите до десятых) (13/36+13/29) : 2,3.

2. Переведите обыкновенные дроби в десятичные, округлите их до сотых и вычислите: (ответ округлите до десятых) (1 23/67−45/99) ∙7/31.

3. Решите уравнение: (2 41/200+ 2 199/250) ∙2 1/2-х=10

Ответы

Ответ дал: filana85
2

Ответ во вложенном файле

Приложения:

SonikLok: Спасибо
Вас заинтересует