• Предмет: Математика
  • Автор: vitebsk933
  • Вопрос задан 3 года назад

пожалуйста срочно!!
Используя основные тригонометрические тождества упростите выражение
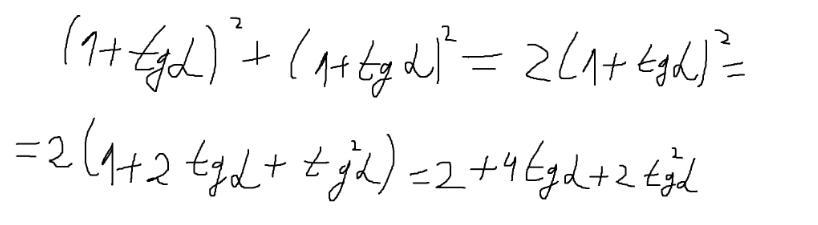
(1+tga)^2+(1+tga)^2

Ответы

Ответ дал: toolskeearsenal
0

Ответ:

Пошаговое объяснение:

Приложения:
Ответ дал: Miroslava227
0

Ответ:

 {(1 + tg( \alpha )) }^{2}  +  {(1 + tg( \alpha ))}^{2}  =\\= 2 {(1 + tg (\alpha ))}^{2}  =\\ =2(1 + 2tg( \alpha ) +  {tg}^{2} ( \alpha )) =\\= 2(2tg( \alpha ) +  \frac{1}{ { \cos( \alpha ) }^{2} } ) = \\=4tg( \alpha ) +  \frac{2}{ { \cos( \alpha ) }^{2} }

Вас заинтересует