Ответы
Ответ дал:
0
Пошаговое объяснение:
не поняла задание если честно
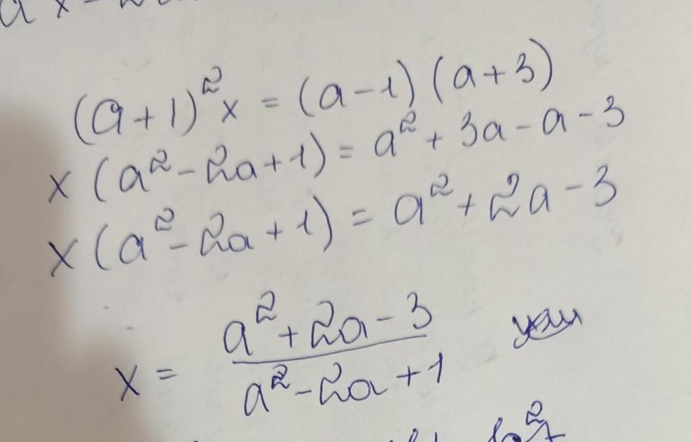
x=a^2+2a-3/a^2-2a-1
Приложения:

nastyapervyshina05:
в задании что ещё написано?
Вас заинтересует
2 года назад
2 года назад
2 года назад
9 лет назад