Кто поможет решить с решением.Могу дать инсту вы скините или в вк.А если тут то решите хотя бы А и Б
Приложения:

Ответы
Ответ дал:
1
Ответ:
решено верно
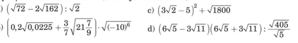
Пошаговое объяснение:
а) -12;
b) 2030;
c) 43;
d) 9
Вас заинтересует
2 года назад
7 лет назад
7 лет назад
9 лет назад
9 лет назад