• Предмет: Алгебра
  • Автор: sapovsa
  • Вопрос задан 3 года назад

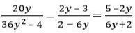
мне бы это уравнение решить даю десятку

Приложения:

Ответы

Ответ дал: krampus777
1

Ответ:

 \frac{20y}{36 {y}^{2}  - 4}  -  \frac{2y - 3}{2 - 6y}  =  \frac{5 - 2y}{6y + 2}  \\  \frac{5y}{9 {y}^{2}  - 1}  -  \frac{2y - 3}{2 - 6y}  -  \frac{5 - 2y}{6y + 2}  = 0 \\  \frac{5y}{(3y - 1)(3y + 1)}  +  \frac{2y - 3}{2(3y - 1)}  -  \frac{5 - 2y}{2(3y + 1)}  = 0 \\  \frac{10y + (3y + 1)(2y - 3) - (3y - 1)(5 - 2y)}{2(3y - 1)(3y + 1)}  = 0 \\  \frac{10y + 6 {y}^{2} - 9y + 2y - 3 - 17y + 6 {y}^{2}   + 5}{2(3y - 1)(3y + 1)}  = 0 \\  \frac{ - 14y + 12 {y}^{2} + 2 }{2(3y - 1)(3y + 1)}  = 0 \\    \frac{2( - 7y + 6 {y}^{2} + 1) }{2(3y - 1)(3y + 1)}  = 0 \\  \frac{ - 7y + 6y {}^{2}  + 1}{(3y - 1)(3y + 1)}  = 0 \\  - 7y + 6 {y}^{2}  + 1 = 0 \\ 6y {}^{2}  - 7y + 1 = 0 \\ 6 {y }^{2}  - y - 6y + 1 = 0 \\ y(6y - 1) - (6y - 1) = 0  \\ (6y - 1)(y - 1) = 0 \\  \\ 6y - 1 = 0 \\ y - 1 = 0 \\ y1 =  \frac{1}{6}  \\ y2 = 1


sapovsa: спасибо но я бы решил через дискриминант
sapovsa: я не критикую твой ответпросто сам бы я не додумался до квадратного уравнения
krampus777: Да это нормально, каждый решает как хочет, просто мне так удобней, ты можешь через дискриминант)
krampus777: Мне разложение просто легче, быстрей))
Вас заинтересует