Ответы
Ответ дал:
1
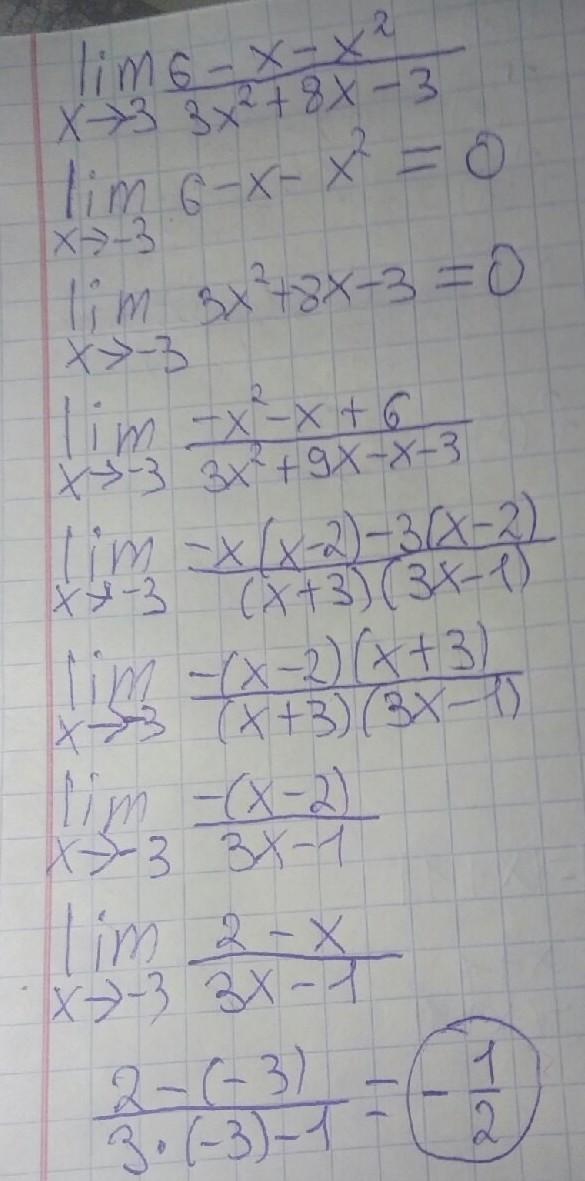
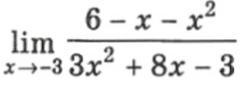
Решение на фото
Надеюсь помог))
Приложения:

Wwweeewwww:
Ты просто гений, господи спасибо
Вас заинтересует
2 года назад
2 года назад
2 года назад
7 лет назад
9 лет назад
9 лет назад