• Предмет: Алгебра
  • Автор: kapusta536
  • Вопрос задан 3 года назад

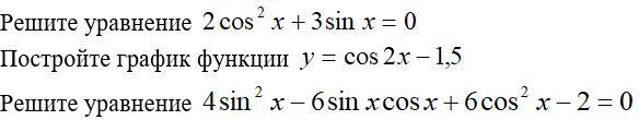
ДАЮ 20 БАЛЛОВ!!
Можете помочь пожалуйста!
Нужен ответ и подробно решение
Спасибо!

Приложения:

xetag131313: воспользуйся фотомазом , он все делает ....

Ответы

Ответ дал: halira1443
0

Ответ:

ку ку скачай photomath там можна решать задачи з алгебри геометри

Объяснение:

1- задача

Приложения:
Вас заинтересует