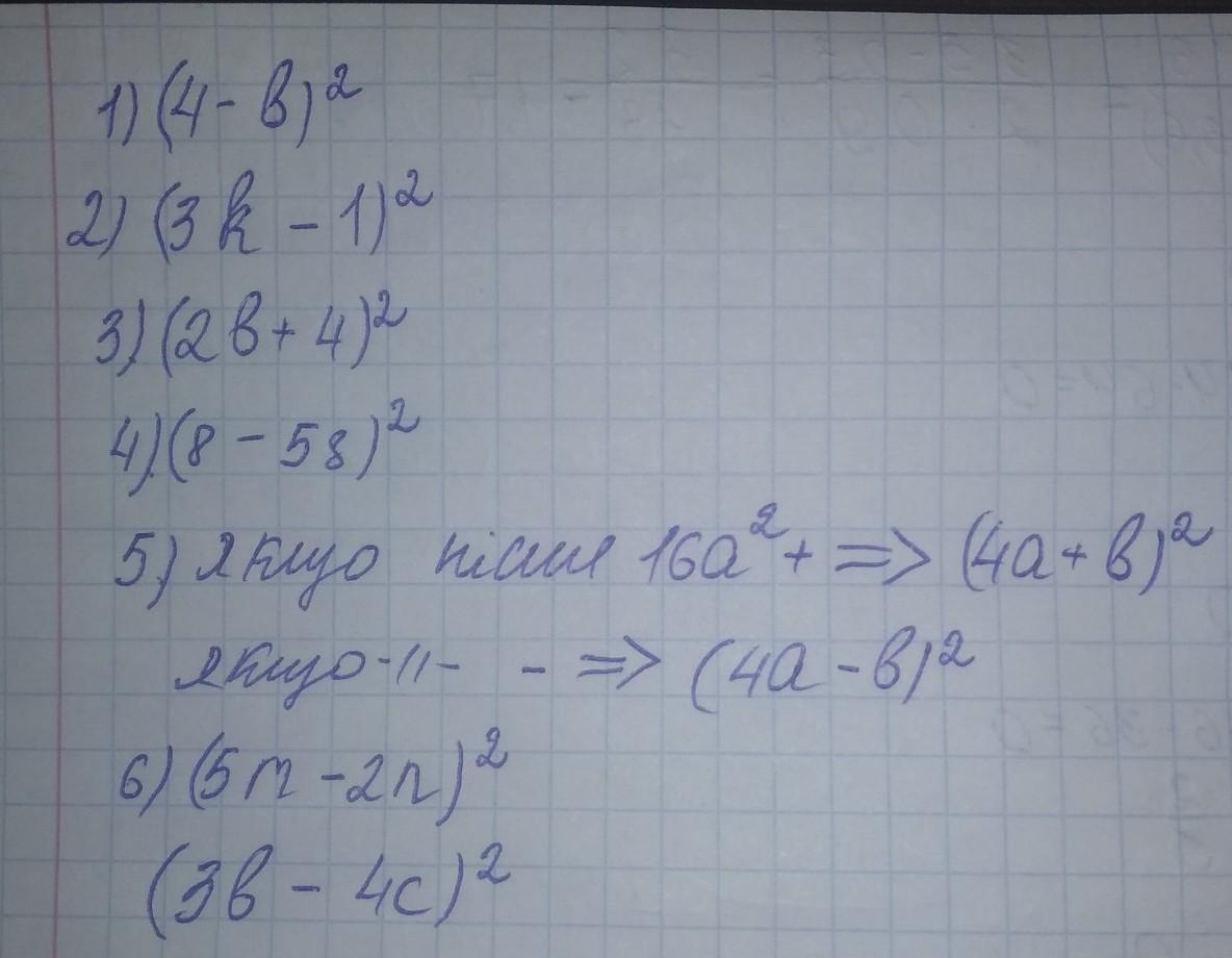
Треба розв'язати.ТЕРМІНОВО!!
1)16-8b+b²
2)9k²-6k+1
3)4b²+16b+16
4)64-80s+25s²
5)16a²8ab+b²
6)25m-20mn+4n²
7)9b²+16c²-24bc
Ответы
Ответ дал:
0
Объяснение:
Ответ дал:
0
Всі розв'язки рівнянь на фотографії.
*Будь уважний, коли пишеш запитання
Приложения:

Вас заинтересует
2 года назад
2 года назад
2 года назад
7 лет назад
7 лет назад
9 лет назад