Основания равнобедренной трапеции равны 10 см и 24 см, а боковая сторона равна 25 см. Найдите площадь трапеции.
Ответы
Ответ дал:
0
Дано:
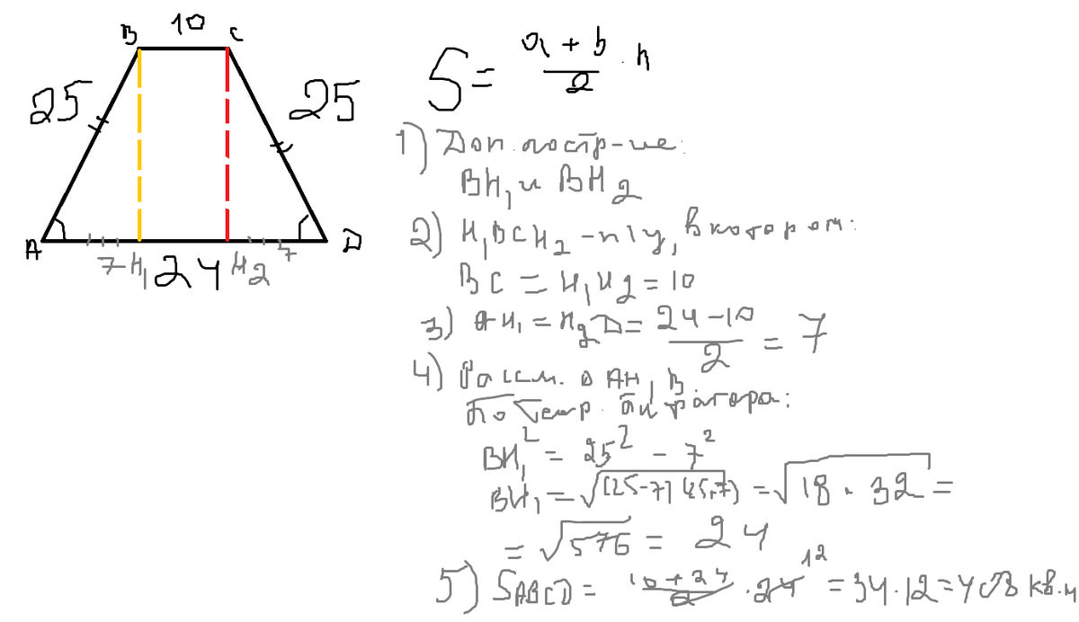
трапеция АВСД - р/б,
ВС<АД - основания.
ВС=10 см
АД=24 см
АВ=СД=25 см
Найти S(ABCD)-?
Решение:
1. Опустим высоту ВН.
2. Так трапеция по условию р/б, то АН=(АД-ВС)/2, АН=7 см
3. Рассмотрим труг АВН ( уг Н=90*) По теореме Пифагора находим ВН
ВН2=АВ2-АН2; ВН2= 625-49=576 ; ВН=24 см
4. S(ABCD)=(BC+AD)/2 * BH; S=17*24=408 кв см
трапеция АВСД - р/б,
ВС<АД - основания.
ВС=10 см
АД=24 см
АВ=СД=25 см
Найти S(ABCD)-?
Решение:
1. Опустим высоту ВН.
2. Так трапеция по условию р/б, то АН=(АД-ВС)/2, АН=7 см
3. Рассмотрим труг АВН ( уг Н=90*) По теореме Пифагора находим ВН
ВН2=АВ2-АН2; ВН2= 625-49=576 ; ВН=24 см
4. S(ABCD)=(BC+AD)/2 * BH; S=17*24=408 кв см
Ответ дал:
0
Держи) По-моему, все очень просто
Приложения:
Вас заинтересует
3 года назад
8 лет назад
11 лет назад
11 лет назад
11 лет назад