• Предмет: Математика
  • Автор: williamsdaria075
  • Вопрос задан 3 года назад

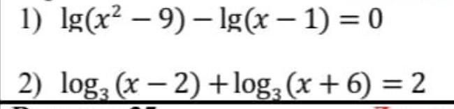
Логарифмические уравнения.
Помогите пожалуйста

Приложения:

Ответы

Ответ дал: iosiffinikov
0

Ответ:

1) 0,5+0,5*sqrt(33)

2)х=3

Пошаговое объяснение:

1) Эквивалентно (с точностью до ОДЗ)

(х^2-9)/(x-1)=1

x^2-9=x-1

x^2-x-8=0

(x-0,5)^2=8,25

x=0,5+0,5*sqrt(33)

второй корень меньше 0 и не подходит по ОДЗ

2)Эквивалентно (с точностью до ОДЗ)

(х-2)*(х+6)=3^2

x^2+4x-12=9

(x+2)^2=5^2

x1=3 x2=-7

По ОДЗ подходит только один корень х=3

Ответ дал: kamazzzz13
0

Решение логарифмических уравнений
Приложения:
Вас заинтересует