• Предмет: Математика
  • Автор: ppffffff
  • Вопрос задан 3 года назад

помогите решить систему,пожалуйста ​

Приложения:

Ответы

Ответ дал: Veronika724
3

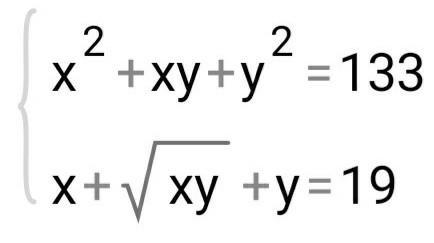
\begin{equation*}\begin{cases}x^2+xy+y^2 = 133\\x + \sqrt{xy} + y =19\end{cases}\end{equation*}

Разделим верхнее уравнение на нижнее, получаем:

\dfrac{x^2+xy+y^2}{x+\sqrt{xy}+y} = \dfrac{133}{19}\\\\\\\dfrac{(x^2+xy+y^2)(x+y-\sqrt{xy})}{(x+y+\sqrt{xy})(x+y-\sqrt{xy})} = 7\\\\\\\dfrac{(x^2+xy+y^2)(x+y-\sqrt{xy})}{(x+y)^2 - xy} = 7\\\\\\\dfrac{(x^2+xy+y^2)(x+y-\sqrt{xy})}{x^2 + 2xy + y^2 - xy} = 7\\\\\\\dfrac{(x^2+xy+y^2)(x+y-\sqrt{xy})}{x^2 + xy + y^2} = 7\\\\x -\sqrt{xy} + y = 7

Используя новое уравнение, мы можем составить систему:

\begin{equation*}\begin{cases}x+\sqrt{xy} + y = 19\\x - \sqrt{xy} + y = 7\end{cases}\end{equation*}

Сложим верхнее уравнение с нижним:

x + x + \sqrt{xy} + (-\sqrt{xy}) + y + y = 19 +7\\\\2x +\sqrt{xy} -\sqrt{xy} + 2y = 26\\\\2x + 2y = 26\\\\x = \dfrac{26-2y}{2}\\\\x = 13 - y

Благодаря проделанным действиям у нас наконец-то появляется возможность выразить одну переменную через другую и решить систему методом подстановки. Пусть этой переменной будет x , как я и сделала. Возвращаемся к исходной системе и подставляем выраженный нами x в, допустим, верхнее уравнение системы.

\begin{equation*}\begin{cases}x = 13 -y\\x^2 + xy + y^2 = 133\end{cases}\end{equation*}\ \ \Leftrightarrow\ \begin{equation*}\begin{cases}x = 13 - y\\(13-y)^2 + y(13-y) + y^2 = 133\end{cases}\end{equation*}

Получаем уравнение с одной неизвестной, решим его отдельно:

(13-y)^2 + y(13-y) + y^2 = 133\\\\169 - 26y + y^2 + 13y - y^2 + y^2 - 133 = 0\\\\y^2 - 13y + 36 = 0

По теореме Виета:

\begin{equation*}\begin{cases}y_{1}y_{2} = 36\\y_{1} + y_{2} = 13\end{cases}\end{equation*}\ \ \ \ \ \Big| y = 9\ ; y = 4

Таким образом, получаем два значения y, которые может принимать эта переменная в нашей системе. У нас будет две пары решений. Зная y , можем найти x :

\begin{equation*}\begin{cases}x = 13 - y\\y = 9\end{cases}\end{equation*}\ \ \Leftrightarrow\ \begin{equation*}\begin{cases}x = 13 - 9\\y = 9\end{cases}\end{equation*}\ \ \Leftrightarrow\ \begin{equation*}\begin{cases}x = 4\\y = 9\end{cases}\end{equation*}    -  первая пара.

\begin{equation*}\begin{cases}x = 13 - y\\y = 4\end{cases}\end{equation*}\ \ \Leftrightarrow\ \begin{equation*}\begin{cases}x = 13 - 4\\y = 4\end{cases}\end{equation*}\ \ \Leftrightarrow\ \begin{equation*}\begin{cases}x = 9\\y=4\end{cases}\end{equation*}    -  вторая пара.

Ответ: (4; 9), (9; 4).


Veronika724: На проверку после этого сил уже не осталось, простите :(
ppffffff: У меня не хватает слов для того, чтоб выразить свою Вам благодарность. Вы оказали мне помощь именно тогда, когда мне это было нужно больше всего. Я никогда этого не забуду. Спасибо Вам за участие в моей жизни, за готовность всегда прийти на помощь. Мир Вам и Вашим семьям. Как говорят, мир — не без добрых людей. Я убедилась в правоте этих простых и вместе с тем таких обнадеживающих слов,благодаря вам Veronika724!!!
ppffffff: Вероника семь два четыре
пусть твоя жизнь будет как в зефире
спасибо за твое решение
благодарю за крутое мышление
Вас заинтересует