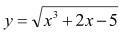
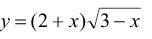
Пожалуйста, ПОМОГИТЕ, ЖИЗНЕННО НЕОБХОДИМО!!! 40 баллов! Найти производные, продифференцировать
Приложения:
Ответы
Ответ дал:
1
Решение задания прилагаю
Приложения:
LSM54:
Спасибо, а вы можете еще другие задания из моего профиля порешать, пожалуйста.
Вас заинтересует
2 года назад
2 года назад
3 года назад
3 года назад
8 лет назад
8 лет назад
9 лет назад