• Предмет: Алгебра
  • Автор: ajinza
  • Вопрос задан 3 года назад

Дам 50 баллов!!!
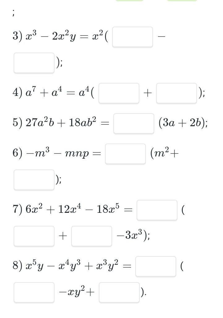
Заполни пропуски так чтобы получилось тождество​

Приложения:

Ответы

Ответ дал: ochatoBugom
1

Ответ:

3) (x-2y)

4)(a^3+1)

5)9ab

6)-m(m^2+np)

7)6x^2(1+2x^2-3x^3)

8)x^3y(x^2-xy^2+y)

Объяснение:

Вас заинтересует