• Предмет: Геометрия
  • Автор: Ktototypoi
  • Вопрос задан 3 года назад

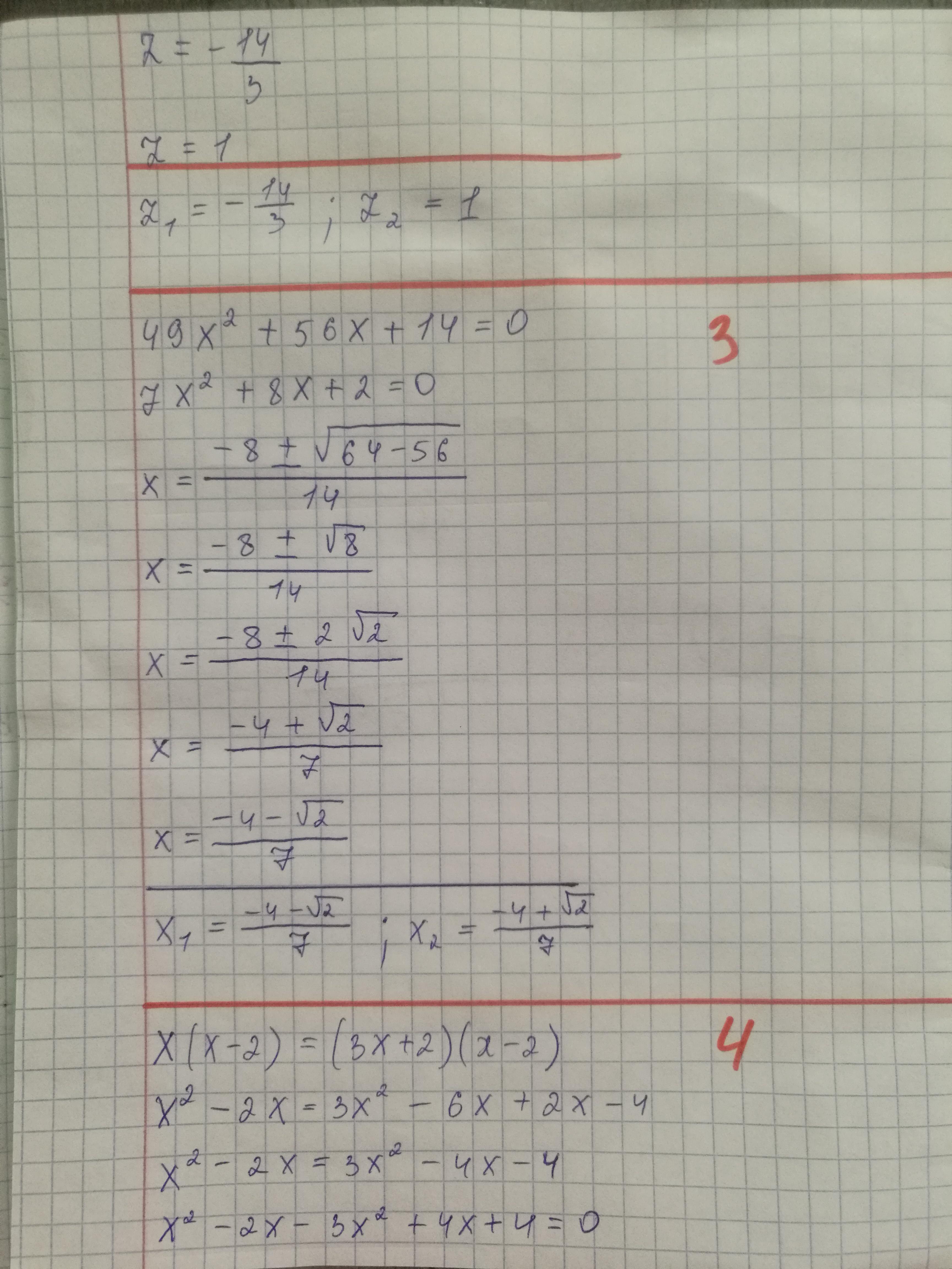
Неполные квадратные уровнения, 8 класс. Помогите, пожалуйста, ребята)

Приложения:

Ответы

Ответ дал: katya687098
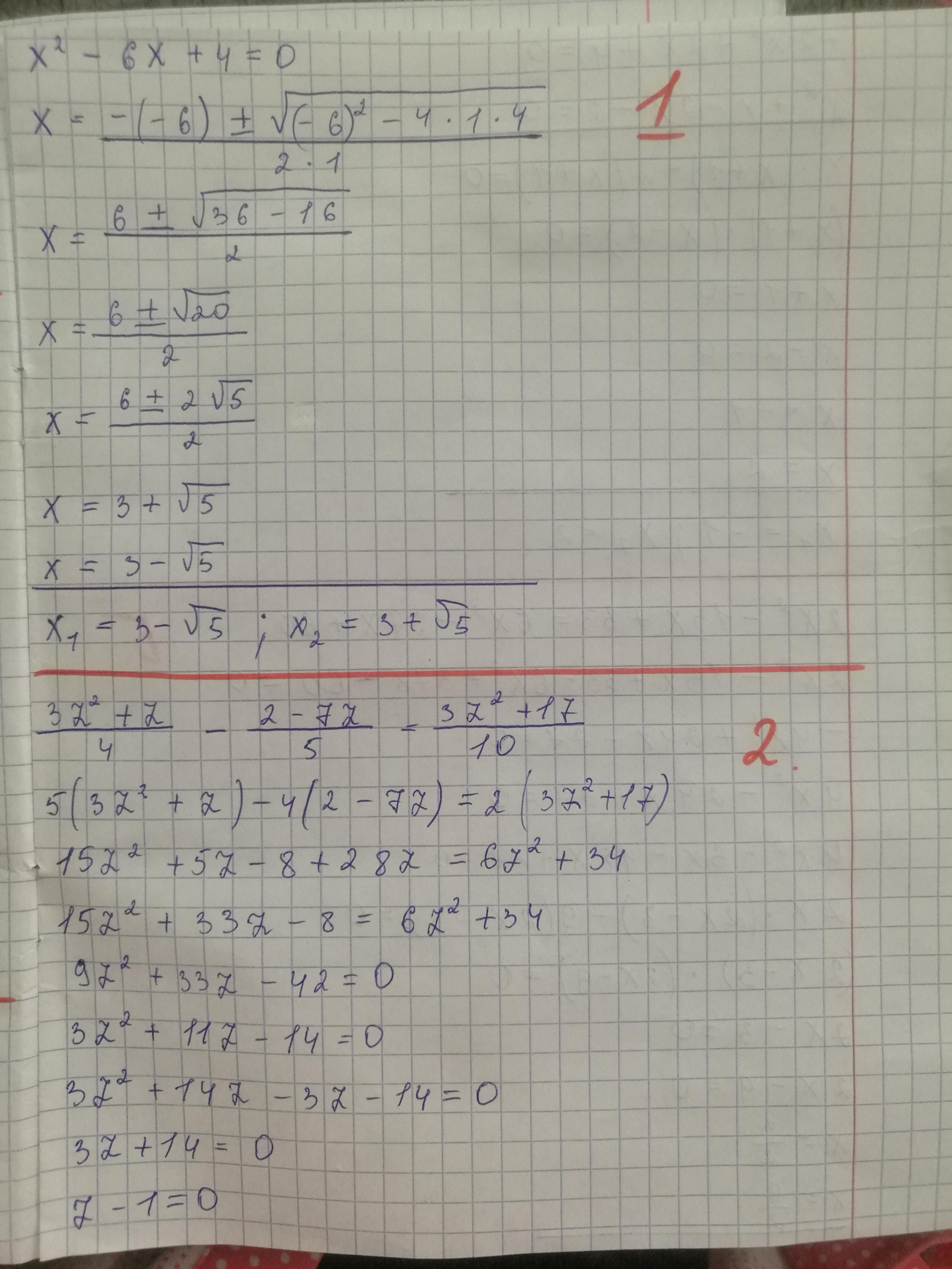
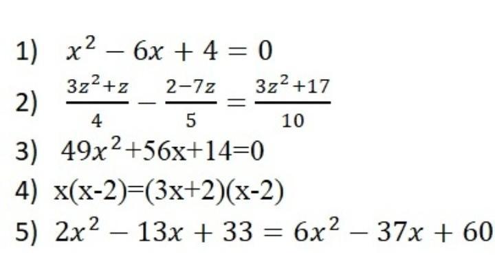
1

Ответ:Все правильно)

Объяснение:

Приложения:

Ktototypoi: Спасибо, добрый человечек! ❤️
katya687098: Не за что)
Ktototypoi: Кстати, это ведь решение без дискриминанта, да? Просто мы, вроде, с дискриминантом решаем. Без него ведь можно, не посчитают за ошибку?
katya687098: В принципе без него тоже можно это не считается за ошибку
Вас заинтересует