• Предмет: Математика
  • Автор: knes
  • Вопрос задан 3 года назад

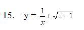
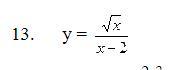
найдите производные функций

Приложения:

Ответы

Ответ дал: Miroslava227
1

Ответ:

13)y' =  \frac{ \frac{1}{2} {x}^{ -  \frac{1}{2}}(x - 1) -  \sqrt{x}   }{ {(x - 1)}^{2} }  =  \frac{ \frac{x - 1}{2 \sqrt{x} } -  \sqrt{x}  }{ {(x - 1)}^{2} }  =  \frac{1}{2 \sqrt{x}(x - 1) }  -  \frac{ \sqrt{x} }{ {(x - 1)}^{2} }

15)y' =  -  {x}^{ - 2}  +  \frac{1}{2}  {(x - 1)}^{ -  \frac{1}{2} }  =  -  \frac{1}{ {x}^{2} }  +  \frac{1}{2 \sqrt{x - 1} }


knes: тут будет одна производная будет?
Miroslava227: не поняла вопроса
Miroslava227: тут две разных производных
Вас заинтересует