• Предмет: Алгебра
  • Автор: milana5341
  • Вопрос задан 3 года назад

Пожалуйста помогите?

Только
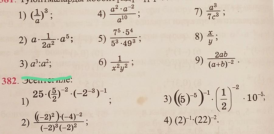
381. 5)
382. 1). 4)
пожалуйста​

Приложения:

Ответы

Ответ дал: Turbikon
1

Ответ:

381)

\frac{7^{5}*5^{4}  }{5^{3} * 49^{3} } = \frac{7^{5}*5 }{7^{6} } = \frac{5}{7}

382) 1)

25 * (\frac{5}{2}^{-2} ) * (-2^{-3})^{-1}  = 4 * -2^{3} = 4 * -8 = -32

4)

2^{-1} * 22^{-2}  = \frac{1}{2} * \frac{1}{484} = \frac{1}{968}

Вас заинтересует