• Предмет: Математика
  • Автор: aysel2020
  • Вопрос задан 3 года назад

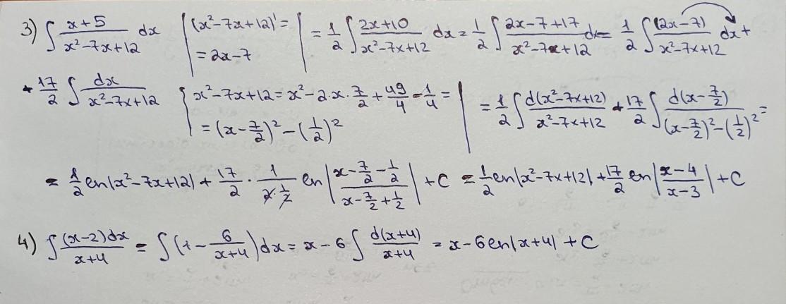
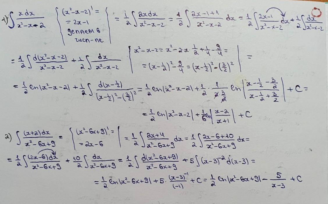
Найти интегралы рациональных функций - 10 класс, срочно. Даю 50 баллов. Решение напишите на листочке.

Приложения:

Ответы

Ответ дал: Miroslava227
1

Ответ:

решение на фотографиях

Приложения:
Вас заинтересует