СРОЧНО ДАЮ МНОГО БАЛЛОВ!!РЕШИТЕ ЗАДАЧУ: При охлаждении литра воды при температуре 40ºС положили 650 г льда при 0 ºС. Сколько льда осталось в воде в момент, когда температура воды понизилась до 0 ºС?
Ответы
Ответ дал:
1
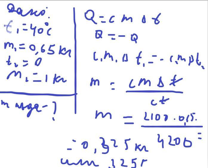
я все указал в рисунке, но я не уместил что С воды = 4200, а льда = 2100, это ты можешь найти в таблице
Приложения:
Вас заинтересует
2 года назад
2 года назад
2 года назад
8 лет назад
8 лет назад
9 лет назад
9 лет назад