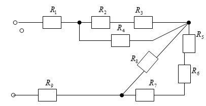
50 баллов без спама. Определить эквивалентное сопротивление цепи
R1=3 OM
R2=1 OM
R3=4 OM
R4=5 OM
R5=2 OM
R6=3 OM
R7=6 OM
R8=2 OM
R9=1 OM
Приложения:

Ответы
Ответ дал:
2
Ответ:
Объяснение:
1) R567=2+3+6=11 ом
2) R5678= 11*2/(11+2)=22/13=1,6923 (Ом)
3)R23=R2+R3=5 Ом
4)R234=5*5\10=2,5 Ом
R=R1+R234+R5678+R9=3+2,5+1.7+1=8,2 Ом
и где такие числа дают в условии ?
SuperArt1:
Спасибо большое, препод дает рандом цифры каждому в условии
Вас заинтересует
2 года назад
2 года назад
2 года назад
2 года назад
7 лет назад
9 лет назад