• Предмет: Алгебра
  • Автор: SophieFive
  • Вопрос задан 3 года назад

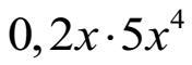
упрости выражение на картинке:

Приложения:

Ответы

Ответ дал: VHawkV
0

Ответ:

Объяснение:

0,2х*5х⁴=1хх⁴=х¹⁺⁴=х⁵

Вас заинтересует