• Предмет: Математика
  • Автор: karlygash9626
  • Вопрос задан 3 года назад

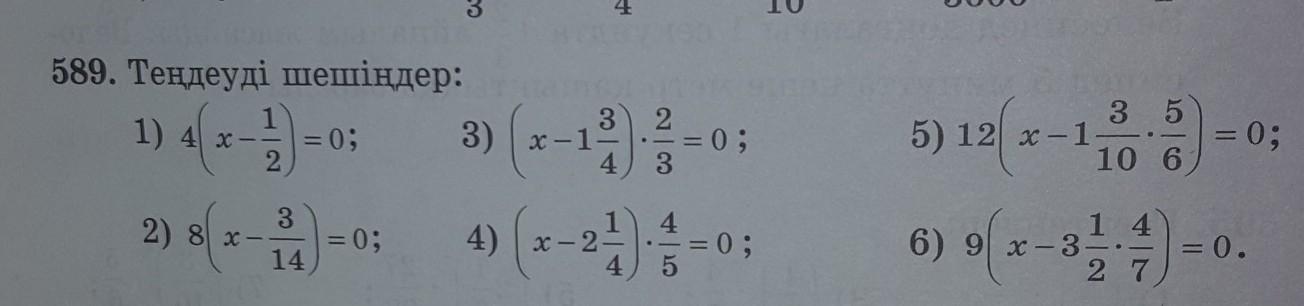
пж помогите с 4; и с 6​

Приложения:

Ответы

Ответ дал: ALexHelper1285
2

Ответ:

4) x=2,25

6)x=1,3

Пошаговое объяснение:

Ответ дал: siidiendbrhdhxj
0
ответы: 4)2,25 6)1,3
Вас заинтересует