Вариант 4
1. Периметр параллелограмма равен 45 см. Чему равны стороны
параллелограмма, если известно, что одна его сторона в 2 раза меньше
другой?
Ответы
Ответ дал:
0
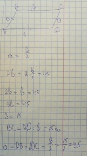
Возьмем что а=.
Периметр это сума всех сторон, следовательно P=a+a+b+b=2a+2b+2×+2b.
b+2b=45
Приложения:

LSM54:
Помогите, пожалуйста https://znanija.com/task/41047839
Вас заинтересует
2 года назад
2 года назад
2 года назад
2 года назад
9 лет назад
9 лет назад