• Предмет: Математика
  • Автор: rakhmatovanazira74
  • Вопрос задан 3 года назад

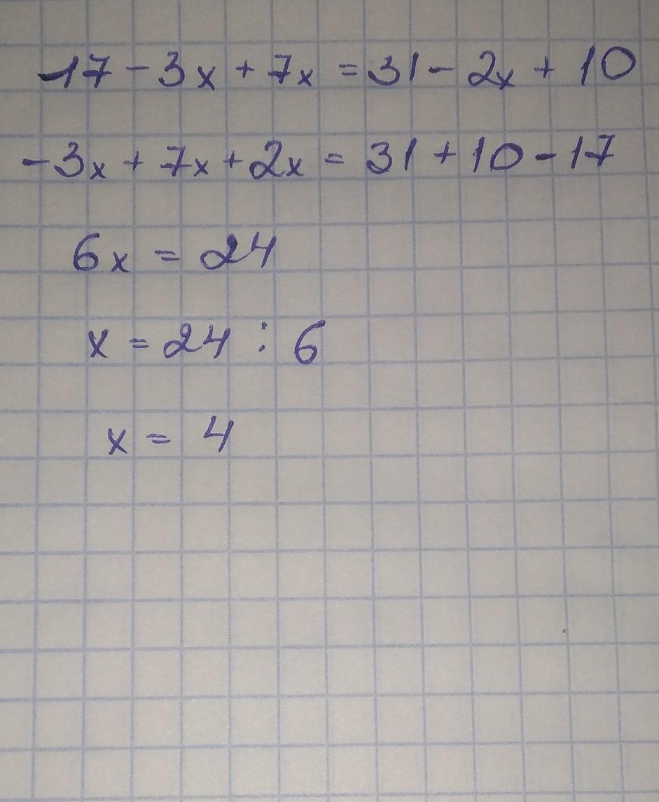
17-3×+7×=31-2×+10 как решить эту уравнения

Ответы

Ответ дал: aceportugues
0

Ответ:

х=-12

Пошаговое объяснение:

приводишь подобные -3х+7х =4х

17-4х=41-2х

-4х+2х=41-17

-2х=24

х=-12

Ответ дал: mhalikulova07
0

х=4

у меня так получилось вроде правильно

Приложения:
Вас заинтересует