• Предмет: Математика
  • Автор: dashazalepa
  • Вопрос задан 3 года назад

Помогите пожалуйста с математикой

Приложения:

Ответы

Ответ дал: Miroslava227
2

Ответ:

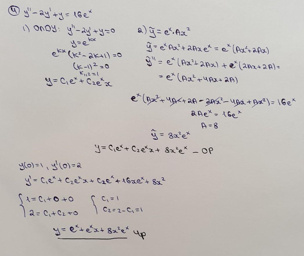
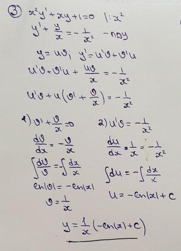
решение на фотографиях

Приложения:
Вас заинтересует