• Предмет: Алгебра
  • Автор: aruzhansulu
  • Вопрос задан 3 года назад

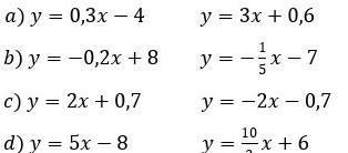
Найдите функции, графики которых параллельны друг другу:
ПЖ СРОЧНО ​

Приложения:

Ответы

Ответ дал: emptinessssss
1

Ответ:

с) y=2x+0.7; y=-2x-0.7

Ответ дал: table123
1

Ответ:

Объяснение:

б)  y= -0,2x+8,   y=-0,2x-7, у них  к=-0,2 (прямые параллельны, если

у них равны коэффициенты при х равны ),

не видно в   d) y=5x-8  y=10/? +6,  если 10/2 то  к=5,  тогда тоже парал-ны

Вас заинтересует