• Предмет: Алгебра
  • Автор: hdhshdh
  • Вопрос задан 3 года назад

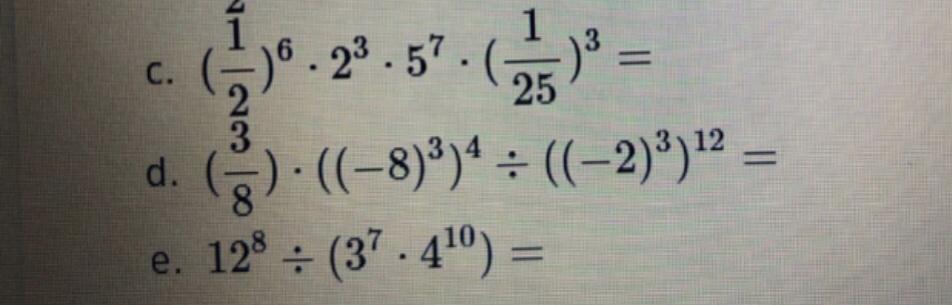
Найдите значение выражения и округлите его до сотых. Умоляю помогите

Приложения:

Ответы

Ответ дал: Miа16
1

Ответ: Фото.

Объяснение:

Приложения:
Вас заинтересует