• Предмет: Алгебра
  • Автор: 1234567890123476
  • Вопрос задан 3 года назад

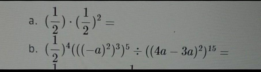
Найдите значение выражения и округлите его до сотых. прошу помогите!​

Приложения:

Ответы

Ответ дал: andrey8165
0
Знаю только а. 1/8=0,125)

1234567890123476: а решение?
andrey8165: 1/2*(1/2)2=(1/2)3=1/8=0,125 после скобок степень
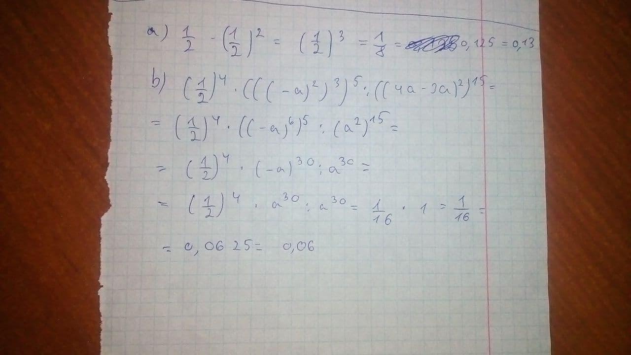
Ответ дал: Miа16
0

Ответ: Фото.

Объяснение:

Приложения:
Вас заинтересует