Ответы
Ответ дал:
1
Ответ:
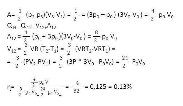
Ответ 0,13%
Объяснение:
Приложения:

kzh64:
Ну вообщем как то, если посчитаешь что неправильно можешь удалить
Вас заинтересует
2 года назад
2 года назад
2 года назад
2 года назад
7 лет назад
9 лет назад