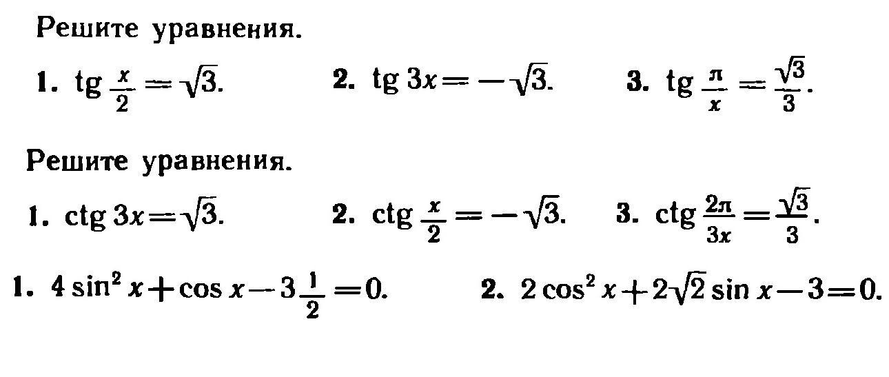
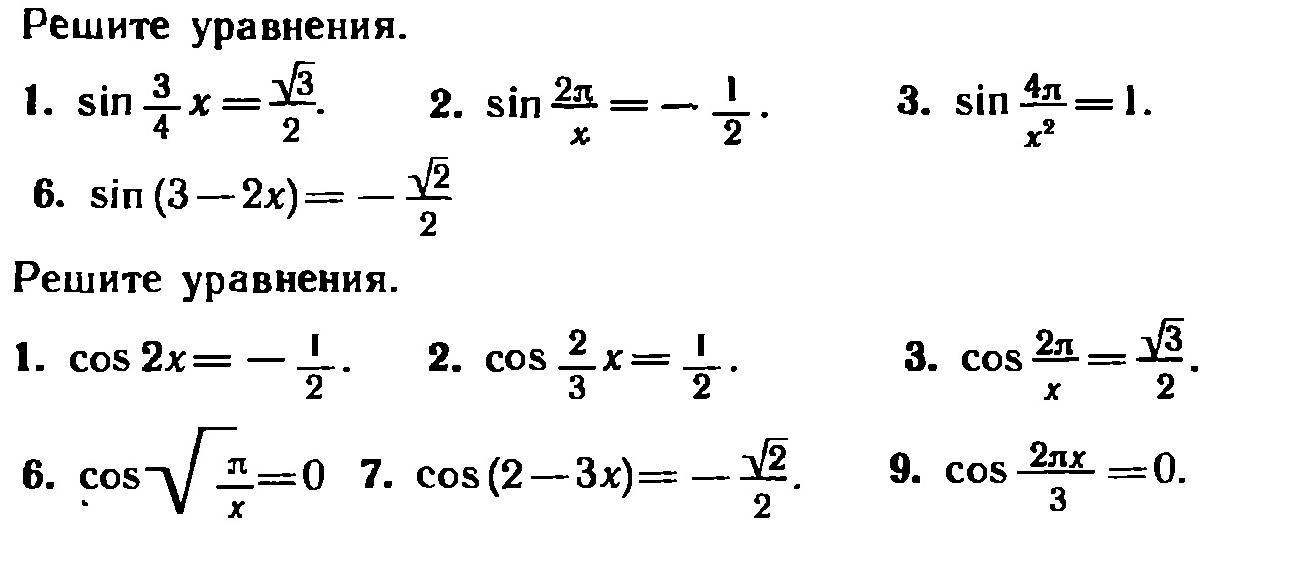
Всё на фото. Даю 37 баллов за ответы. Делайте кто сколько сможет, можно на бумаге. Решение желательно как можно подробнее)
Приложения:




Ответы
Ответ дал:
1
Ответ:
Пошаговое объяснение:
Приложения:





NikolayBaskov1918:
Спасибо огромное! Очень помог!
Вас заинтересует
2 года назад
2 года назад
7 лет назад
9 лет назад