• Предмет: Математика
  • Автор: shirokovandrey151
  • Вопрос задан 3 года назад

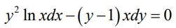
Определить тип и решить дифференциальное уравнение

Приложения:

Ответы

Ответ дал: Miroslava227
1

Ответ:

Это ДУ с разделяющимися переменными.

 {y}^{2}  ln(x) dx - (y - 1)xdy = 0  \\ (y - 1)xdy =  {y}^{2}  ln(x) dx \\ \int\limits \frac{(y - 1)dy}{ {y}^{2} }  = \int\limits \frac{ ln(x) dx}{x}  \\ \int\limits( \frac{1}{y}  -  {y}^{ - 2} )dy = \int\limits \frac{1}{x}  ln(x) dx \\  ln(y)  -  \frac{ {y}^{ - 1} }{( - 1)}  = \int\limits ln(x) d( ln(x))  \\  ln(y)  +  \frac{1}{y}  =  \frac{ { ln(x) }^{2} }{2}  + c

общее решение

Вас заинтересует