• Предмет: Алгебра
  • Автор: karina120699
  • Вопрос задан 3 года назад

Помогите решить вектора
а=(4,3,5)
b=(-3,-4,2)
c=(7,2,1)
d=(-2,5,13)

Приложения:

Ответы

Ответ дал: dnepr1
1

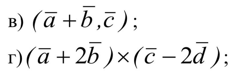
Даны векторы: а=(4;3;5) , b=(-3;-4;2), c=(7;2;1)  и d=(-2;5;13).

в) Так как в разных учебниках даётся разное обозначение действий с векторами, в задании надо было словами оговорить нужное действие.

Будем считать, что задано скалярное произведение суммы векторов a и  b на вектор c.

a + b = (4; 3; 5)

          (-3; -4; 2)  

          (1; -1; 7).

(a + b)*c =  (1; -1; 7)*(7;2;1)  = 7 - 2 + 7 = 12.

г) a + 2b = (4; 3; 5)

              (-6; -8; 4)  

                (-2; -5; 9).

c - 2d = (7; 2; 1)

          (-4; 10; 26)  

          (11; -8; -25).

Задано векторное произведение векторов:

(a + 2b) = (-2; -5; 9) и c - 2d =  (11; -8; -25)/

 i         j        k|         i         j

-2      -5       9|      -2       -5

11       -8     -25|      11        -8 = 125i + 99j + 16k - 50j + 72i + 55k =

                                            = 197i + 49j + 71k = (197; 49; 71).


tiharo3463: Здравствуйте, вы можете помочь с задачей пожалуйста? https://znanija.com/task/41094092
Вас заинтересует