• Предмет: Алгебра
  • Автор: Kristina200631
  • Вопрос задан 3 года назад

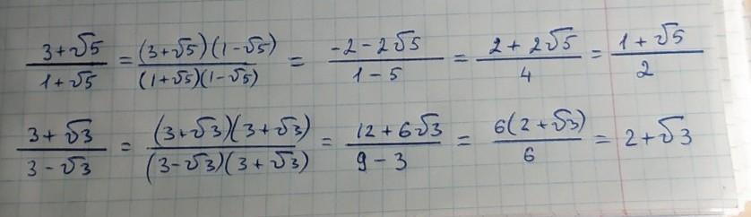
Освободитесь от иррациональности в знаменателе а)3+√5/1+√5 б)3+√3/3-√3
ОЧЕНЬ СРОЧНО ,ДАЮ 50 БАЛЛОВ

Ответы

Ответ дал: zdravstvuytedeva4ki
0

.....,......,....,....

Приложения:
Вас заинтересует