• Предмет: Математика
  • Автор: mevive9452
  • Вопрос задан 3 года назад

там только 1 дробь надо решить с обяснением бан за без обяснения фото ниже

Приложения:

mevive9452: готов
mevive9452: если да то напиши да
Davidoser1202: стой
Davidoser1202: погоди 1 минуту
Davidoser1202: блин
Davidoser1202: не получается, что-то(
mevive9452: отвечают сорян
Davidoser1202: ок
mevive9452: мне пишется кто то отвечает на этот вопрос
Davidoser1202: я уже понял

Ответы

Ответ дал: arinakalendzhan
2

Ответ:

если вы проходили десятичные дроби до 31, 6

Пошаговое объяснение:

все есть на фото

Приложения:
Ответ дал: elkhan11Super
0

Ответ:

ответ 31 целая и1/5

Пошаговое объяснение:

первое действие решаем в скобках.

1 2

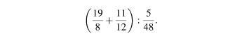
(19/8+11/12):5/48

1)19/8 и 11/12 нужно привести к общему знаменателю

первый знаменатель 8 второй 12 находим наименьший общий знаменатель это 24 так,как 24:8 и 24:12.

19*3 и8*3=

57/24.

11*2 и 12*2

22/24

1)57/24+22/24= 79/24

2)то что получилось в скобках первого действиям делим на 5/48

и так:

79/24:5/48 в делители меняет местами цыфры 5/48 получается 48/5 и умножаем ип

79/24*48/5 сокраем 24 и 48 = 1. и 2

79/1*2/5=158/5 = 31целая 3/5


elkhan11Super: надеюсь все понятно
elkhan11Super: если есть вопросы ,жду,отвечу
Вас заинтересует