• Предмет: Математика
  • Автор: lyubadyachenko03
  • Вопрос задан 3 года назад

Найти тангенс наклона касательной при x=2

Приложения:

Ответы

Ответ дал: LiNinG001
1

Ответ:

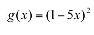
g(x)=(1-5x)²

0=(1-5x)²

(1-5x)²=0

1-5x=0

-5x = -1

x=

 \frac{1}{5}

Альтернативная форма

x=0,2 , x=5 (-1 сверху писать)

Пошаговое объяснение:

Наверное так

Вас заинтересует