• Предмет: Алгебра
  • Автор: kokoklenaoat
  • Вопрос задан 3 года назад


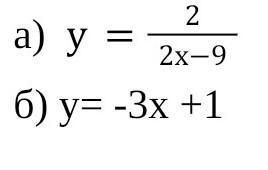
Найдите область определения функций:
а) у=22х-9 б) у= -3х +1
СРОЧНО ДАМ 20 БАЛЛОВ​

Приложения:

Ответы

Ответ дал: abmuhammad2020974
0

Ответ:а) (-оо;9/2)(9/2;+оо)

Б) (-оо;+оо)

Объяснение:область определения это значение которых функция не принимает

А у=-3х+1 нету числел при которых функция выйдет неправильной


kokoklenaoat: Правильно?
abmuhammad2020974: Конечно
Вас заинтересует