• Предмет: Математика
  • Автор: Аноним
  • Вопрос задан 3 года назад

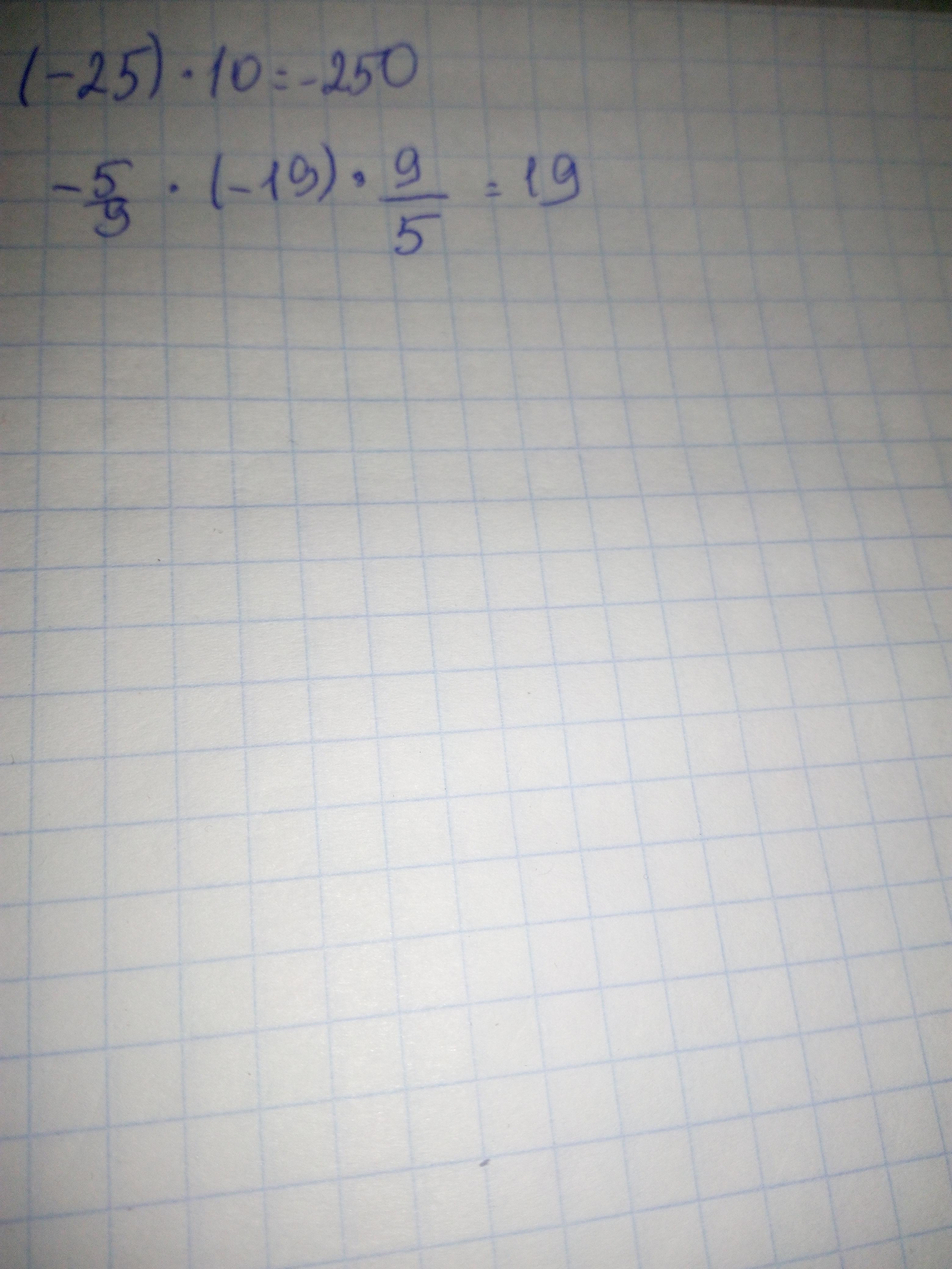
используя переместительное и сочетательное свойства Вычислите наиболее удобным способом (- 25)×5×2; - 5/9×(-19)×1 4/5​

Ответы

Ответ дал: PinkesRose
5

Ответ:

Пошаговое объяснение:

Приложения:

Аноним: спасибо
Аноним: огромное
abdukhalykovdamir: спс помагла
Вас заинтересует