Ответы
Ответ дал:
1
Ответ:
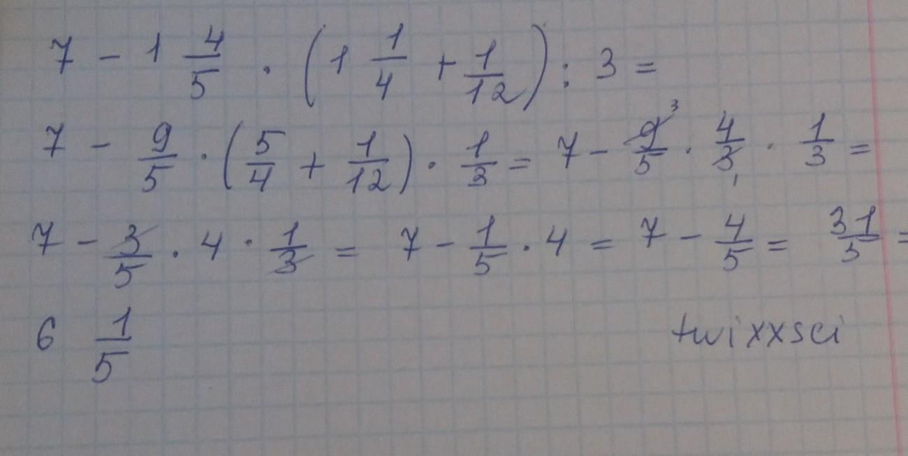
7 - 1 4/5 * (1 1/4 + 1/12) : 3=7-9/5*(5/4+1/12):3=7-9/5*(15/12+1/12):3=7-9/5*16/12:3=7-48/20*1/3=7-16/20=7 20/20-16/20=64/20=6 1/5
Пошаговое объяснение:
Ответ дал:
1
Ответ:
решение на фото
Пошаговое объяснение:
..............
Приложения:

Вас заинтересует
2 года назад
2 года назад
2 года назад
2 года назад
7 лет назад
7 лет назад