Для проверки выводов Галилея относительно свободного падения
тел, ученики бросали различные
предметы с верхнего этажа школьного здания без начальной скорости, высота бросания предметов 10
м. Как долго эти тела падали на землю? Ускорение свободного падения о 10 м/с2
20 с
14с
0.2 с
2 с
Ответы
Ответ дал:
16
Ответ:
1.4
Объяснение:
:)
Ответ дал:
18
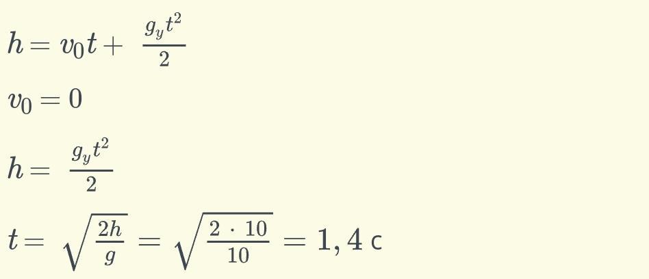
Ответ:
1.4 сек
Объяснение:
Приложения:

Вас заинтересует
2 года назад
2 года назад
2 года назад
2 года назад
7 лет назад
9 лет назад