• Предмет: Математика
  • Автор: kozlovaludmila372
  • Вопрос задан 3 года назад

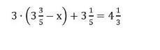
реши уровнение 3*(3 3/5-x)+3 1/5=4 1/3
Помогите пожалуйста дам 40 баллов это СОр ​

Приложения:

Ответы

Ответ дал: SnowYT
1

54/5 - 3x + 16/5 = 13/3

3x = 54/5 + 16/5 - 13/3

3x = 70/5 - 13/3

3x = 210/15 - 65/15

3x = 145/15

x = 145/15 / 3

x = 145/45  =  3\frac{10}{45} = 3\frac{5}{9}


SnowYT: Сделай плиз лучшим ответом
kozlovaludmila372: я не много не понимаю это же другое уровнение или же нет?
SnowYT: нет знак / это типо дробь слева числитель, справа знаменатель
SnowYT: там ещё сократить можно было я дописал
kozlovaludmila372: аа всё я поняла спасибо большое
Вас заинтересует