• Предмет: Математика
  • Автор: aruzhanaskar32
  • Вопрос задан 3 года назад

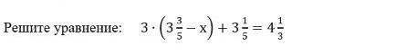
Срочно помогите пожалуйста плисс пж ​

Приложения:

Ответы

Ответ дал: kozlovaludmila372
0

Ответ:

Вот ответ правильный если что-то не понятно по пишите в комментариях :)

Приложения:
Вас заинтересует