• Предмет: Алгебра
  • Автор: sdsds558
  • Вопрос задан 3 года назад

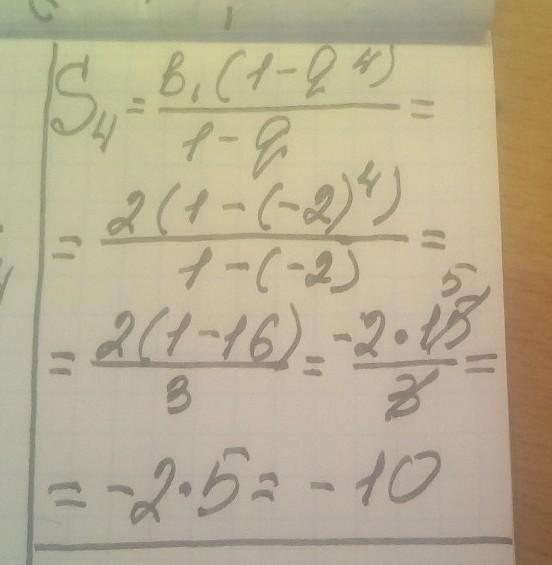
СРОЧНО (bn) - геометрическая прогрессия, b1=2, q=-2. Найдите S4-?

Ответы

Ответ дал: manyny06
0

Ответ:

решение на фотографии

Приложения:
Вас заинтересует