Ответы
Ответ дал:
1
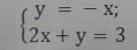
у=-х ; х=0 у=0; х=1 у=-1
2х+у=3; у=3-2х; х=0 у=3; х=1 у=1
Ответ: М (3; -3)
Приложения:

Вас заинтересует
2 года назад
2 года назад
2 года назад
2 года назад
7 лет назад
9 лет назад