• Предмет: Математика
  • Автор: Аноним
  • Вопрос задан 3 года назад

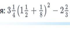
найдите значение выражения​

Приложения:

Ответы

Ответ дал: zandosulyaldiar
0

Ответ:

4543

——— проверил с помиши фото мача

768

Вас заинтересует