• Предмет: Математика
  • Автор: prikol14
  • Вопрос задан 3 года назад

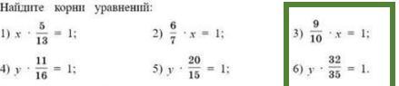
найдите корни уравнений пожалуйста(только то что в зелёной рамке)

Приложения:

Ответы

Ответ дал: Littot001
1

Ответ:

1)0.9х=1

х= 1: 0.9

х= 1.1

2) 32/35у=1

у=1:32/35

у= 1 3/32

ПРИВЕТ! УДАЧИ ТЕБЕ!


prikol14: Спасибо! взаимно.
Littot001: незачто:)
Вас заинтересует